


如何「延缓衰老」相信是伴随所有人一生的“课题”。近年来,有这样一种称为“不老药”的物质另全球富豪争先为之“折腰”。对膳食营养补剂了解比较多的同学,可能已经猜到了,它就是:NMN。通过权威科学家的实验发现和证实了NMN能有效提升体内NAD+水平,具有显著逆转衰老、延长寿命的效果。

人体缺乏NAD+会带来什么影响
今天要说的就是这段时间很热门的新晋“网红—— NMN。
NMN 看起来非常符合人们对于「长寿药」的期待,不过先别急着开心,你了解NMN的手性安全吗?什么是手性?为什么我们这么重视它?赛立复研究院今天带大家来深度了解一下何谓“手性安全”。
了解手性,要从“反应停”事件开始说起…
“反应停事件”背后的“罪魁祸首”
“反应停事件”也称“沙利度胺事件”,其影响并不亚于中国的“毒奶粉事件”。只不过中国的“毒奶粉”是人为添加的,而西方的“反应停药物”是由于当时的科学技术水平的落后而造成的。
1959年,西德各地出生了大量手脚异常的畸形婴儿。伦兹博士对这种怪胎进行了调查,于1961年发表了“畸形的原因是催眠剂反应停”,使人们大为震惊。
反应停是妊娠的母亲为治疗阻止女性怀孕早期的呕吐服用的一种药物,反应停的主要成分是沙利度胺,实际上是由两种非常相似的化学物组成,相似的就像我们的左右手一样,难以区别,俗称手性化合物。它的右旋异构体具有镇静作用,而左旋异构体却是导致胎儿畸形的罪魁祸首。
手性是指两个化合物互为实物与镜像关系,像我们的左手和右手之间的关系。
因为对手性异构体的"无知",最终导致悲剧。很明显,研究手性化合物对于科学研究以及人类健康有着重要意义。
赛立复NMN手性分离确保产品安全
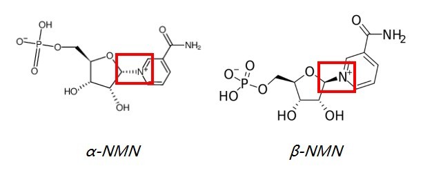
目前我们所熟知的NMN,通常是指β-NMN,正如很多的科普文章中所说NMN的全称是β-烟酰胺单核苷酸,这是因为只有β-NMN才具有活性,才能够被人体吸收,转化为NAD+,进而帮助产生延缓衰老的效果。而α-NMN则不具备活性,也就是说α-NMN对人体的影响存在未知的风险。
作为最早深耕在NMN领域的行业楚翘,美国赛立复深知NMN手性安全的重要性!大众所担心的“手性”问题,在赛立复这里得到成功破解。赛立复的核心研发团队由来自美国康奈尔大学、港大、清华等世界知名院校的医学、药物研发、分子生物学、遗传学和计算机信息学等多领域专家组成,强大的科研团队能为破解“手性”难题提供强而有力的技术支持。
以史明鉴,让美国赛立复坚持对NMN进行天然结构纯化和验证。赛立复研究发现生物体中天然的NMN是β-NMN(“右手型”),其他如α-NMN(“左手型”)等异构体不具有活性(如下图),常规合成方法制造的NMN,其中天然形态的β-NMN含量只有60%,其余的为α-NMN和杂质,这样制造出来的NMN安全隐患极高。


赛立复NMN检测图
赛立复运用专利技术——超高效液相色谱分离纯化技术,对NMN进行了难度极高的手性分离,清华大学检测中心检测发现赛立复NMN成分只有一种β-NMN,并出具了手性安全检测报告。

CELFULL(赛立复)一直非常关注NMN的安全性,通过多种方式保证NMN的安全,而NMN的手性安全是赛立复反复提到、非常重视的,赛立复一直在积极推进手性分离技术的研发,因为它不仅关乎现在,还关乎下一代的遗传安全。而赛立复安全的β-NMN能够最大程度避免对身体产生危害,给消费者一颗“定心丸”,真正使大众从NAD+的长寿中受益!
(赛立复研究院提醒消费者:价格低廉的NMN产品往往将没有活性的α-NMN混入β-NMN中,在产品外包装的成分表上也只标注NMN,很多消费者根本无从得知到底该产品是用了何种NMN,在选择NMN产品的时候,要尽量选择那些有资质有科研实力的品牌,以免被误导!)